A. PELAKSANAAN PRAKTIKUM
1. Tujuan Praktikum
a. Mengenal reaksi-reaksi senyawa aromatis.
b. Mengidentifikasi senyawa golongan aromatis.
c. Mengidentifikasi adanya fenol.
d. Mengenal reaksi-reaksi yang membedakan fenol monovalen dan polivalen.
B. LANDASAN TEORI
Benzena berupa molekul segienam datar dengan atom-atom karbon yang terletak pada keenam sudutnya. Semua ikatan karbon-karbon sama panjang dan kuatnya, sama halnya dengan semua ikatan karbon-hidrogen, dan semua sudut CCC dan HCC adalah 120º. Jadi, setiap atom karbon terhibridisasi sp2; setiap atom itu membentuk tiga ikatan sigma dengan dua atom karbon di sebelahnya dan dengan atom hidrogen. Susunan ini menyisakan satu orbital 2pz yang tidak terhibridisasi pada setiap atom karbon, tegak lurus terhadap bidang molekul benzena, atau cincin benzena, satu sebutan yang sering digunakan. Sejauh ini uraiannya menyerupai konfigurasi etilena (C2H4), kecuali dalam hal ini terdapat enam orbital 2pz tidak terhibridisasi dalam susunan melingkar. Karena bentuk dan orientasinya yang serupa, masing-masing orbital 2pz saling tumpang tindih dengan dua orbital yang lain, yaitu dengan satu orbital pada setiap atom karbon di sebelahnya. Interaksi enam orbital 2pz menyebabkan terbentuknya enam orbital molekul pi, di mana tiga di antaranya berupa ikatan dan tiga lagi berupa antiikatan. Karena itu, molekul benzena dalam keadaan dasar mempunyai enam elektron dalam tiga orbital molekul ikatan pi, dua elektron dengan spin berpasangan di setiap orbital (Chang, 2005: 346).
Benzena merupakan suatu anggota dari kelompok besar senyawa aromatic, yaitu senyawa yang cukup distabilkan dengan dikolisasi electron-pi. Energy resonansi suatu senyawa aromatic merupakan uluran diperoleh kestabilan (sifat-sifat structural yang menimbulkan aromatinitas). Cara yang paling mudah untuk menentukan apakah suatu itu aromatic ialah dengan menentuka posisi absorpsi dalam sprektrum MNR oleh proton yang terikat pada atom-atom cincin. Proton yang terikat kea rah luar cincin aromatic sangat kurang terperisal atau menyerap jauh ke bawah medan dibandingkan kebanyakan proton (Fessenden,2005:463).
Telah dilakukan penelitian adsorpsi larutan benzena oleh batu padas jenis Ladgestone teraktivasi NaOH 4 M dan tersalut FeO dengan perbandingan batu padas dan penyalutnya 10:1; 50:1; dan 100:1. Penelitian ini bertujua untuk mengetahui kemampuan batu padas yang termodifikasi tersebut dalam menurunkan konsentrasi larutan benzena. Penelitian ini meliputi penentuan keasaman permukaan dengan titrasi asam basa, karakterisasi luas permukaan spesifik batu padas menggunakan metode metilen biru, penentuan waktu setimbang adsorpsi batu padas terhadap larutan benzena, serta kapasitas adsorpsi batu padas yang mengacu pada jenis isoterm adsorpsi Freundlich dengan menggunakan alat kromatografi gas ( Simpen, 2011).
Benzena adalah senyawa yang terdapat dalam lem yang digunakan untuk proses pengeleman dalam kegiatan industri pembuatan sandal/sepatu. Benzena dapat masuk kedalam tubuh melalui kulit dari lem. Praktek membersihkan sisa lem menggunakan bensin atau minyak tanah justru dapat meningkatkan jumlah paparan pada tubuh. Pengukuran paparan benzena dilakuk dengan mengukur metabolit hasil biotransformasinya yaitu fenol dalam urin. Tujuan penelitian ini untuk menganalisis hubungan faktor individu (tingkat pendidikan dan higiene perorangan) terhadap kadar fenol urin pekerja bagian pengeleman pada home industri sandal Kota Tasikmalaya. Metode penelitian menggunakan pendekatan cross sectional dengan sampel sebanyak 57 orang yang terpilih secara rando dari populasi 68 orang di bagian pengeleman. Hasil pengukuran kadar fenol urin minimal 19,62 mg/l dan maksimal 137,24 mg/l. Tidak ada hubungan antara tingkat pendidikan dengan kadar fenol urin ( Maywati, 2012 ).
Analisis terhadap kadar dan jenis senyawa fenol dalam sedimen tambak yang tercemar dan tercemar oleh air lumpur Lapindo di Sidoarjo, Jawa Timur, telah dilakukan. Penentuan kadar senyawa fenol dilakukan dengan metode kolorimetri menggunakan reagen Folin Ciocalteau dan dianalisis dengan UV-Vis pada panjang gelombang 740 nm. Kadar senyawa fenol yang terdapat dalam tambak tercemar dan tidak tercemar air lumpur Lapindo berbeda secara signifikan. Senyawa fenol lebih banyak terdistribusi pada tambak yang tercemar oleh air lumpur Lapindo. Kadar senyawa fenol yang terdapat dalam masing-masing sampel rata-rata < 1 mg/L. Berdasarkan hasil analisis secara kualitatif dengan GC-MS, jenis senyawa fenol yang teridentifikasi adalah fenol, 4- klorofenol, butilfenol dan metilfenol. Keempat senyawa tersebut merupakan jenis pencemar yang berbahaya bagi lingkungan perairan ( Sukandar, 2007 ).
C. ALAT DAN BAHAN PRAKTIKUM
1. Alat-alat Praktikum
a. Tabung reaksi
b. Spatula
c. Timbangan analitik
d. Pipet volum 5 mL
e. Penjepit kayu
f. Bunsen
g. Rubber bulb
h. Pipet tetes
i. Pipet volum 1 mL
j. Korek api
2. Bahan-bahan Praktikum
a. Anilin
b. Benzena
c. Kloroform
d. Larutan H2SO4 pekat berasap
e. Serbuk AlCl3 anhidrat
f. Fenol
g. Resorsinol
h. Serbuk asam benzoat
i. Fehling A
j. Fehling B
D. SKEMA KERJA
1. Reaksi dengan H2SO4 Pekat
2. Reaksi dengan CHCl3-AlCl3
3. Reaksi dengan Pereaksi Fehling
E. HASIL PENGAMATAN
1. Uji Gugus Aromatis
2. Uji Gugus Fenol
F. ANALISIS DATA
1. Uji Gugus Aromatis
a. Reaksi dengan H2SO4 pekat berasap
1) Reaksi pada benzena
2) Reaksi pada anilin
3) Reaksi pada asam benzoat
b. Reaksi dengan CHCl3-AlCl3
1) Reaksi pada benzena
2) Reaksi pada anilin
3) Reaksi pada asam benzoat
2. Uji Gugus Fenol
Fehling A : CuSO4
Fehling B : KN4(C4H4O6). 4H2O
Reaksi dengan pereaksi Fehling
G. PEMBAHASAN
Suatu senyawa karbon dapat disebut sebagai senyawa aromatic jika struktur molekulnya berbentuk siklik dan datar. Menurut aturan Huckel, setiap atom siklik harus memiliki orbital P yang tegak lurus bidang cincin. Senyawa hidrokarbon aromatis pada umumnya bersifat nonpolar seperti halnya senyawa hidrokarbon alifatik dan alisiklik. Karena bersifat nonpolar, maka kelompok senyawa ini tidak dapat larut di dalam air. Sebaliknya, senyawa ini memiliki kelarutan yang cukup baik di dalam pelarut organik seperti heksana, dietil eter dan karbon tetraklorida. Benzena sendiri yang merupakan molekul aromatic paling sederhana juga sering dijadikan pelarut organik. Keistimewaan benzene yaitu dapat membentuk azeotrop dengan air.
Senyawa golongan fenol adalah golongan senyawa dengan struktur aromatik dengan mengandung gugus OH pada rantai aromatik. Jadi pada fenol gugus OH langsung terikat pada inti benzena. Ada 3 golongan fenol berdasarkan atom H yang digantikan oleh gugus H yaitu, fenol monavalen yaitu suatu senyawa fenol yang jika suatu atom H pada inti aromatik diganti oleh 1 gugus OH, fenol divalent yaitu suatu senyawa fenol yang jika satu atom H pada inti aromatic diganti oleh 2 gugus OH dan merupakan fenol bermartabat dua, dan fenol trivalent yaitu sutatu senyawa fenol yang jika tiga atom H pada inti aromatik diganti oleh 3 gugus OH.
Pada percobaan ini, praktikum bertujuan untuk mengenal reaksi-reaksi senyawa aromatik, mengidentifikasi senyawa golongan aromatik, mengidentifikasi adanya fenol, dan mengenal reaksi-reaksi yang membedakan fenol monovalen dan polivalen. Untuk mencapai tujuan-tujuan tersebut, dilakukan dua jenis percobaan, yaitu identifikasi gugus aromatic dengan menggunakan benzene, anilin, dan asam benzoat, serta identifikasigugus fenol dengan menggunakan fenol dan resorsisol.
Pada percobaan pertama, yaitu reaksi menggunakan H2SO4 pekat, dikarenakan proses reaksinya yang merupakan reaksi sulfonasi, dimana hasilnya berupa asam benzene sulfonat yang kemudian terurai menjadi H3O+, H2SO4 dan SO3 sehingga ada perubahan yang ditimbulkan dalam larutan yang akan diidentifikasi adanya golongan aromatic dengan reaksi yang bersifat bolak-balik. Dalam percobaan ini, larutan asam sulfat pekat direaksikan dengan benzena, aniline dan asam benzoat. Pada benzena, ketika direaksikan dengan H2SO4 pekat, terbentuk dua fase larutan dimana pada bagian bawah terdapat larutan berwarna kuning bening sementara pada bagian atas terdapat cairan bening. Larutan berwarna kuning bening tersebut merupakan asam benzensulfonat dan cairan bening tersebut adalah air. Massa jenis asam benzensulfonat (C6H5SO3H) (P=1,32 gr/ml) lebih besar dari massa jenis air (P=1 gr/ml) sehingga asam benzensulfonat berada di bawah dan air berada di atas. Adapun reaksi yang terjadi antara benzene dan H2SO4 yaitu reaksi sulfonasi yang menghasilkan asam benzensulfonat dan air. Asam benzensulfonat juga merupakan senyawa aromatic karena mengandung cicin benzena. Kemudian, pada aniline saat direaksikan dengan H2SO4 pekat, terbentuk larutan berwarna orange pekat serta terasa panas dan terdapat endapan cokelat tua pada dinding tabung. Timbulnya perubahan warna dalam larutan disebabkan adanya pemutusan dan pengikatan gugus-gugus atau senyawa dari masing-masing zat membentuk senyawa baru dimana pada proses ini dibutuhkan energy yang besar sehingga terjadi peningkatan suhu (terasa panas). Peningkatan suhu yang tinggi juga dikarenakan adanya elektrofilen SO3+ dari senyawa asam sulfat yang merupakan asam kuat yang terdisosiasi sempurna dan memutus satu ikatan H untuk berikatan dengan anilin. Adapun reaksi yang terjadi adalah sama seperti sebelumnya yaitu reaksi sulfonasi, tetapi produknya berbeda yaitu asam sulfanilik dan air. Berikutnya, asam benzoate tersebut memutus ikatan H dan bereaksi dengan HSO3+ (dari proses pemutusan ikatan H2SO4 menjadi HSO3+ dan OH-) membentuk asam metasulfobenzoat (SO3H-C6H4-COOH) yang ditandai dengan adanya endapan (koloid), selain itu OH- dan H+ yang dilepaskan membentuk air. Reaksi ini pun merupakan reaksi sulfonasi.
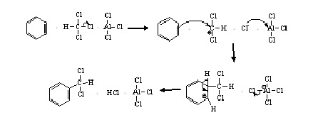
Pada percobaan kedua, digunakan benzene, aniline, dan asam benzoate untuk direaksiskan dengan CHCl3-AlCl3. Pada benzena, ketika dicampur dengan CHCl3, benzene dapat larut dan warna larutan yang diperoleh adalah bening. Hal ini disebabkan karena CHCl3 merupakan pelarut organic. Proses larutnya benzene dalam CHCl3 tidak menyebabkan terbentuknya senyawa baru. Kemudian, pada penambahan AlCl3 anhidrat terdapat gumpulan dipermukaan tabung, pada proses ini terjadi reaksi kimia yang menyebabkan terbentuknya senyawa baru yaitu C6H5CHCl2 ((diklorometil)benzene), HCl, dan AlCl3. Berdasarkan proses reaksinya, satu ikatan H pada benzene putus dan bereaksi membentuk HCl dengan AlCl4-. AlCl4- (terbentuk dari AlCl3) melepas atom Cl- dan kembali lagi membentuk AlCl3 pada akhir reaksinya. Benzene yang telah kehilangan satu atom H digantikan oleh CHCl3 yang melepas satu atom Cl- nya membentuk CHCL yang berikatan dengan benzene. Selanjutnya, aniline yang awalnya berwarna orange pekat, ketika ditambahkan CHCl3 berubah menjadi merah terang. Ini menandakan aniline larut dalam CHCl3. Dalam hal ini tidak terbentuk senyawa baru, karena aniline hanya mengalami pengenceran karena larut dalam CHCl3. Kemudian, ketika ditambahkan AlCl3, warna larutan tetap yaitu merah terang dan terdapat gumpalan yang mengapung dan menempel dipermukaan tabung reaksi. Hal ini disebabakan gugus amino bereaksi bereaksi dengan asam lewis membentuk senyawa kompleks. Endapan tersebut merupakan AlCl3 yang terbentuk kembali setelah reaksi selesai. Adapun larutan yang terbentuk dari reaksi ini yaitu HCl dan C6H3NH2- CHCl2 ( 3-(diklorometil)aniline). Kemudian dalam tabung reaksi yang lain, asam benzoate ditambahkan CHCl3. Asam benzoate larut dan terbentuk larutan e bening. Ketika ditambahkan AlCl3 , terdapat gumpalan di permukaan tabung. Ketiga reaksi tersebut merupakan reaksi Friedel – Cratts yang berhubungan dengan subtitusi elektro filik dari cincin benzene . Reaksi yang berlangsug merupakan jenis reaksi Fredel-Cretts alkilasi, dimana reagennya adalah haloalkana (R-X) dan aluminium ( III) klorida anhidrat (AlCl3) yang berperan sebagai katalis. Keberadaan katalis tersebut menyebabakan penyerangan spesies lebih positif.
Untuk percobaan identifikasi gugus fenol dengan reaksi FeCl3 – piridin dan reaksi Almen (tidak dilakukan). Pada reaksi FeCl3 – piridin digunakan fenol dan resorsinol. Apabila terdapat gugus hidroksi, akan terbentuk senyawa kompleks berwarna biru sampai ungu tergantung dari struktur senyawa yang diuji, apakah mengandung satu gugus –OH (monovalen) atau lebih dari satu gugus –OH (polivalen). Pada reaksi Almen, fenol dan resorsinol masing-masing direaksikan dengan pereaksi Million pada suhu tinggi. Adanya fenol ditandai dengan terbentuknya warna merah sampai ungu. Pada reaksi ini, fenol monovalen memberikan hasil positif.
Pada percobaan ketiga, identifikasi gugus fenol, fenol dan resorsinol direaksikan dengan pereaksi Fehling. Pada fenol, ketika ditambahkan Fehling A, terbentuk larutan berwarna cokelat, penambahan Fehling B menyebabkan warna larutan menjadi biru kehitaman. Saat dipanaskan warna larutan menjadi semakin pekat. Seharusnya, terdapat endapan berwarna merah Cu2O yang mengindikasikan adanya gugus OH pada fenol, dimana terjadi reaksi antara Cu2+ dengan gugus OH. Hal ini disebabkan karena kurangnya ketelitian praktikan saat melakukan pengamatan. Pada resorsinol yang memiliki lebih dari satu gugus OH (polivalen), saat ditambahkan Fehling A, terbentuk larutan berwarna hijau muda, ditambah Fehling B warna larutan menjadi biru tua. Sama seperti sebelumnya, larutan lalu dipanaskan dan berubah warna menjadi cokelat tu dan terdapat endapan yang merupakan endapan Cu2O. Karena resorsinol memiliki gugus 2 gugus OH maka endapan yang terbentuk akan lebih banyak daripada fenol yang hanya memiliki satu gugus OH. Berdasarkan hal ini, dapat diketahui bahwa pereaksi Fehling dapat digunakan untuk mengidentifikasi fenol monovalen dan polivalen, tidak seperti pereaksi Million yang hanya dapat mengidentifikasi fenol monovalen.
H. KESIMPULAN
Berdasarkan praktikum yang telah dilakukan, maka dapat disimpulkan bahwa :
a. Reaksi yang terjadi pada serangkaian percobaan yang telah dilakukan merupakan reaksi subtitusi yaitu reaksi pertukaran gugus atom-atom pada senyawa karbon. Salah satu bagian dari reaksi subtitusi yaitu reaksi sulfonasi yang merupakan reaksi kimia yang melibatkan penggabungan gugus atom sulfonat SO3H ke suatu molekul.
b. Untuk mengidentifikasi senyawa golongan aromatik dapat dilakukan melalui reaksi dengan asam sulfat pekat maupun CHCl3 – AlCl3.
c. Untuk mengidentifikasi adanya fenol dapat dilakukan melalui reaksi dengan FeCl3– piridin, reaksi Almen, dan reaksi dengan pereaksi Fehling.
d. Untuk fenol monovalen, reaksi FeCl3-piridin akan menghasilkan kompleks berwarna biru, reaksi almen (dengan pereaksi Million) akan menghasilkan warna merah sampai ungu, dan pereaksi Fehling akan menghasilkan endapan merah. Untuk fenol polivalen, dapat didentifikasi dengan reaksi FeCl3- piridin dan pereaksi Fehling dimana pada reaksi FeCl3- piridin akan terbentuk kompleks berwarna ungu dan pada pereaksi Fehling akan terbentuk endapan yang lebih banyak daripada fenol monovalen.
DAFTAR PUSTAKA
Dewilda, Yommi. 2012. Degradasi Senyawa Fenol oleh Mikroorganisme Laut. Padang : Universitas Andalas.
Lenny, Sovia. 2006. Senyawa Flavonoida, Fenilpropanoida dan Alkaloida. Medan : Universitas Sumatra Utara.
Parlan, A. 2005. Kimia Organik I. Malang : UM Press.
Pudyoko, sigit. 2010. Hubungan Pajanan Benzena dengan Kadar Fenol dalam Urine dan Gangguan Sistem Hematopoietic Pada Pekerja Instalasi BBM. Semarang : Universitas Diponegoro.

















Tinggalkan komentar