A. PELAKSANAAN PRAKTIKUM
1. Tujuan praktikum :
- Mempelajari pengertian gula reduksi dan gula non reduksi
- Memperoleh pengalaman tentang katalis enzim dan katalisa pada hidrolisa gugus asetal.
B. LANDASAN TEORI
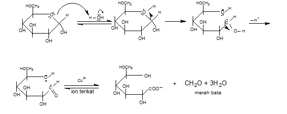
Karbohidrat merupakan polihidroksi aldehid dan keton, karena itu dapat mengadakan reaksi-reaksi seperti halnya lakohol dan karbonil. Semua monosakarida dan disakarida mampu mereduksi larutan tembaga (II) hidroksida. Setiap karbohidrat yang mampu mereduksi tembaga ini tanpa terlebih dahulu mengalami hidrolisa disebut gula reduksi. Reaksi kimia yang umum dipakai untuk mengetahui ada atau tidaknya gula reduksi adalah reagen Fehling, Benedict, dan Tollen. Ada tidaknya gula reduksi dapat dilihat dari warna endapan. Jika reagen Fehling dan Benedict memberikan endapan warna merah bata pada sampel yang diuji maka menandakan adanya gula reduksi sedangkan larutan Tollen akan memberikan warna seperti kaca rias (Ulfa, 2008: 23).
Berbagai senyawa yang termasuk kelompok karbohidrat mempunyai molekul yang berbeda-beda, yaitu dari senyawa yang sederhana mempunyai berat molekul 90 hingga senyawa yang mempunyai berat molekul; 500.000 bahkan lebih. Berbagai senyawa itu dibagi dalam tiga golongan, yaitu golongan monosakarida, golongan oligosakarida, dan golongan polisakarida (Poedjiadi, 1994: 24).
Glikosida adalah asetal yang sebagaimana aldehid normal lain, dihasilkan dari reaksi aldehid dan alkohol dan asam. Reaksi ini dimulai ketika asam memprotonasi gugus hidroksi hemiasetal. Setelah air terlepas terbentuk karbokation yang distabilkan oleh resonansi, yang merupakan satu-satunya karbokation yang resonansinya distabilkan oleh oksigen. Alkohol nukleofilik kemudian menyerang karbokation dari sisi bawah atau atas sehingga menghasilkan kedua bentuk α dan ß, sekali terbentuk glikosida tidak akan bermutarotasi pada keadaan biasa karena senyawa tersebut bukan lagi merupakan hemiasetal. Glikosida merupakan gula yang tidak dapat mereduksi (nonreduksi). Bila senyawa ini diuji dengan pereaksi tollen (yang mengenali aldehid melalui reduksi garam perak menjadi logam perak), akan tanpak negatif (tidak mereduksi). Sebaliknya, semua monosakarida merupakan gula pereduksi dan mereduksi pereaksi tollen
(Bresnick, 2004: 72).
Gugus-gugus hidroksil dalam karbohidrat bertabiat serupa dengan dalam gugus alkohol lain. Gugus ini dapat diesterifikasi oleh asam karboksilat atau asam anorganik dan dapat digunakan untuk membentuk eter. Karbohidrat dapat juga bertindak sebagai diol dan membentuk asetal atau ketal siklik dengan aldehid atau keton (Fessenden, 2002: 337).
Karbohidrat adalah zat gizi yang fungsi utamanya sebagai penghasil energy dimana setiap gramnya mengandung atau menghasilkan 4 kalori, walaupun lemak menghasilkan energy lebih besar. Namun karbohidrat lebih banyak di konsumsi. Karbohidrat banyak ditemukan pada beras, gandum, jagung, kentang dan sebagainya. Karbohidrat tersusun dari tiga jenis unsure yaitu karbon, hydrogen, dan oksigen. Rumus umum karbohidrat adalah (CH2O) dan contoh senyawanya adalah gula, pati dan selulosa. Satuan terkecil penyusun karbohidrat adalah monosakarida atau disebut dengan gula sederhana yang hanya mengandung 3-7 atom hydrogen. Karbohidrat terbentuk pada saat fotosintesis, sehingga merupakan senyawa perantara awal dalam pengaturan CO2, hydrogen dan oksigen serta cahaya matahari kedalam bentuk hayati. Karbohidrat dapat digolongkan kedalam monosakarida, oligosakarida dan polisakarida. (Yazid, 2006 : 35).
C. ALAT DAN BAHAN PRAKTIKUM
1. ALAT PRAKTIKUM
· Erlenmeyer 100 mL
· Gelas kimia 250 mL
· Gelas ukur 250 mL
· Pemanas listrik
· Penjepit
· Pipet tetes
· Plat tetes
· Tabung reaksi
· Rak tabung reaksi
· Stopwatch
2. BAHAN PRAKTIKUM
· Larutan amilum 2%
· Larutan fehling A dan B
· Larutan glukosa 2%
· Larutan fruktosa
· Larutan H2SO4 3 M
· Larutan iodin
· Larutan NaOH
· Larutan sukrosa 2%
· Larutan laktosa 2%
· Siliva
· Aquadest
D. SKEMA KERJA
1. Karbohidrat reduksi dan non reduksi
2. Hidrolisa karbohidrat
Ø Hidrolisa sukrosa (katalis asam dan basa)
Hidrolisa pati (katalisa asam dan enzim)
Ø Hidrolisa pati dengan katalis asam
E. HASIL PENGAMATAN
1. Karbohidrat reduksi dan non reduksi
2. Hidrolisa karbohidrat
Ø Hidrolisa sukrosa (katalis asam dan basa)
Ø Hidrolisa pati (katalis asam dan basa)
Ø Hidrolisis pati dengan katalis asam
F. ANALISIS DATA
1. Karbohidrat reduksi atau non reduksi
a. Glukosa
b. Fruktosa
c. Sukrosa
d. Laktosa
e. Amilum
2. Hidrolisa sukrosa (katalis asam dan basa)
Dengan katalis basa :
3. Hidrolisa amilum dengan katalis enzim
G. PEMBAHASAN
Karbohidrat merupakan senyawa karbon. Hydrogen dan oksigen yang terdapat dalam alam. Banyak karbohidrat mempunyai rumus empiris H2O, misalkan rumus molekul glukosa ialah C6H12O6 (enam kali dari H2O). senyawa ini pernah disangka “hidrat dari karbon” sehingga disebut karbohidrat. Karbohidrat merupakan polihidroksi aldehid dan keton atau turunan dari mereka, sehingga dapat mengadakan reaksi-reaksi seperti halnya dengan alcohol dan karbonil. Karbohidrat digolongkan kedalam 3 golongan yaitu monosakarida, disakarida, dan polisakarida (Fessenden, 2002: 318).
Praktikum ini bertujuan untuk mempelajari pengertian gula reduksi dan gula non reduksi serta memperoleh pengalaman tentang katalis enzim dan katalis asam pada hidrolisa gugus asetal. Gula reduksi merupakan gula yang dapat dioksidasi oleh zat pengoksidasi lembut seperti reagenisa tollens. Suatu larutan basa Ag(NH3)2+, karena zat pengoksidasi anorganik direduksi dalam reaksi itu. Sedangkan gula yang tidak dapat teroksidasi oleh pereaksi sejenis ini merupakan disebut dengan gula nonreduksi. Selain menggunakan pereaksi tollen, dapat pula digunakan pereaksi lain seperti pereaksi fehling. Percobaan ini digunakan pereaksi fehling A dan B, yang mana pereaksi ini merupakan I salah satu pereaksi yang berperan dalam pengujian keberadaan gugus-gugus aldehid (hemiasetal) yang ditandai oleh terjadinya perubahan sampel atau larutan menjadi berwarna kuning kecoklatan samapai merah bata.
Percobaan pertama yaitu menguji karbohidrat reduksi dan non reduksi, digunakan 5 sampel karbohidrat yang nantinya akan di tentukan dengan apakah karbohidrat tersebut merupakan gula reduksi atau non reduksi dengan perlakuan yang sama. Pada tahap awal, kelima tabung yang berisi fehling masing-masing direaksikan dengan 5 jenis sampel karbohidrat yaitu sukrosa, laktosa , pati, frutosa, dan glukosa dengan konsentrasi yang sama yaitu 2%. Berdasarkan hasil pengamatan, pada proses penambahan sukrosa dalam pereaksi fehling terjadi perubahan warnalarutan menjadi warna hijau kebiruan dan terbentuknya endapan. Warna biru ini berasal dari larutan fehling sedangkan timbulnya endapan merupakan sukrosa yang sedikit larut dalam air (dalam keadaan jenuh), hal ini dikarenakan pada awalnya sukrosa larut dalam air, akan tetapi karena pereaksi fehling memiliki ukuran molekul yang lebih kecil menyebabkan pereaksi fehling lebih banyak larut dalam air dibandingkan dengan sukrosa, sehingga dengan sedikit sukrosa yang larut dalam air menyebabkan terbentuknya endapan. Warna hijau biru yang dihasilkan setelah pemanasan menunjukkan bahwa sukrosa merupakan gula non reduksi sebab, jika sukrosa merupakan gula reduksi yang akan menimbulkan endapan berwarna kuning sampai merah bata dan akibatnya adanya fehling dalam campuran. Setelah pemanasanakibat suhu air meningkat mulai terjadi penguapan dan menyebabkan campuran yang ada terdiri dari endapan dibagian bawah dan emulsi koloid di bagian atas. Hal itu juga berlaku untuk semua tabung.
Untuk laktosa yang dimasukkan kedalam pereaksi fehling terjadi perubahan warna larutan menjadi biru tua bening. Setelah campuran yang terbentuk dimasukkan dalam penangas air terbentuk dua bagian yaitu bagian atas coklat kehijauan dan endapan berwarna orange. Terbentuknya endapan orange menunjukkan laktosa merupakan gula reduksi yang berarti dalam gugusnya yang megandung gugus karbonil dan hidroksi dari aldehid (hemiasetal), serta dapat mereduksi tembaga tanpa terlebih dahulu mengalami hidrolisa. Untuk amilum setelah direaksikan dengan fehling terjadi perubahan warna larutan menjadi biru muda keruh dengan sedikit endapan. Hal tersebut dikarenakan ukuran molekul amilum lebih besar dibandingkan dengan ukuran molekul fehling yang terlarut dalam air. Berbeda dengan laktosa, amilum tidak bereaksi dengan fehling. Hal ini ditunjukkan dengan tidak terjadinya perubahan warna ketika terjadi pemanasan dan warna larutan tetap menjadi biru yang berarti amilum merupakan gula non reduksi. Sedangkan pada fruktosa dan glukosa dengan melakukan perlakuan yang sama yaitu memasukkannya kedalam reagen fehling akan menyebabkan terbentuknya larutan biru yang menunjukkan bahwa fruktosa dan glukosa larut dalam fehling bersama dalam air. Setelah pemanasan didapatkan fruktosa berwarna hijau daun dibagian atas dan terdapat endapan merah bata dibawah, sedangkan glukosa menjadi hijau lumut dibagian atas dan berwarna kuning sedikit coklat dibagian bawah, hal ini menunjukkan sampel fruktosa dan glukosa merupakan gula reduksi.
Percobaan selanjutnya yaitu hidrolisa karbohidrat yang terdiri dari tiga perlakuan yaitu, perlakuan pertama adalah hidrolisa sukrosa dengan katalis asam dan basa. Pada percobaan ini, dilakukan 2 perlakuan terhadap 2 tabung reaksi. Dari hasil pengamatan pada tabung pertama dengan menambahkan aquadest dan H2SO4 pada larutan sukrosa yang kemudian dipanaskan. Tidka terjadi perubahan warna pada larutan, campuran yang kemudian ditambahkan dengan NaOH menjadi kuning, setelah dilakukan pengujian dengan kertas lakmus menunjukkan adanya perubahan kertas lakmus merah menjadi biru. Dan menunjukkan larutan bersifat basa. Proses selanjutnya dengan penambahan reagen fehling dengan perubahan warna menjadi biru kehijauan dan lama-kelamaan menjadi hijau. Proses perubahan warna berjalan cukup lama, hal ini di karenakan terjadinya proses penambahan larutan dengan NaOH yang menyebabka terjadinya sifat basa mengakibatkan proses reaksi berjalan lebih lama. Selanjutnya tabung kedua ditambahkan dengan aquadest dan NaOH kemudian dipanaskan. Setelah pemanasan, ada perubahan warna larutan menjadi kuning dan ditambahkan fehling, warna larutan menjadi kuning kecoklatan yang menunjukkan bahwa larutan tersebut bereaksi dengan fehling.
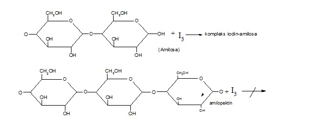
Percobaan berikutnya yaitu hidrolisa pati dengan katalis enzim dan asam, dimana larutan pati dimasukkan dalam 2 buah tabung rekasi yang kemudian diberi perlakuan yang berbeda. Tabung pertama di tambahkan air ludah (saliva) yang kemudian dipanaskan. Saliva tidak tercampur dengan pati dan terbentuk busa, akan tetapi setelah ditambahkan larutan iodine, larutan menjadi ungu keabuan dan lama-kelamaan menjadi jernih kembali. Ini menunjukkan pengujian dengan larutan iodine menunjukkan hasil yang negative, hanya saja masih ada terjadinya reaksi pada sampel tersebut, namun untuk berikatan dan bereaksi dengan iodine membentuk kompleks iodium amilosa tidak terjadi hidrolisa. Paa tabung kedua, ditambahkan asam sulfat kemudian dipanaskan. Larutan menjadi putih keruh. Setelah ditambahkan iodine, warna larutan menjadi kuning jernih, seperti halnya dengan tabung 1, pengujian dengan larutan iodine menunjukkan hasil yang negative dan tidak terbentuk kompleks iodium-amilosa (tidak terjadi hidrolisa).
Percobaan terakhir yaitu hidrolisa dengan katalis asam, berperan untuk mengetahui peranan dari pengujian dengan larutan iodine terhadap suatu sampel pati. Prosesnya yaitu larutan pati (amilum) yang ditambahkan dengan H2SO4 menyebabkan terbentuknya larutan berwarna keruh yang setelah dipanaskan tidak terjadi perubahan warna. Akan tetapi, setelah diuji dengan larutan iodine dalam selang waktu pemanasan5 menit. Pada 5 menit pertama warna larutan menjadi biru tua dan 5 menit kedua, warna larutan menjadi ungu tua. Ini menunjukkan bahwa pengujian positif dengan terbentuknya kompleks iodium-amilosa dan terjadinya hidrolisa. Akan tetapi pada pemanasan 5 menit ketiga, warna larutan menjadi kuning yang menunjukkan tidak terjadinya hidrolisa dan tidak terbentuk kompleks iodium amilosa. Hal ini dikarenakan akibat pemanasan akibat pemanasan katalis yang berupa asam telah terhidrolisa secara termal dengan sempurna.
H. PENUTUP
1. Kesimpulan
- Karbohidrat merupakan senyawa karbon,oksigen dan hydrogen serta merupakan polihidroksi aldehid dan keton
- Gula reduksi adalah senyawa karbohidrat yang mampu mereduksi zat pengoksidasi lembut seperti reagensia tollens, suatu larutan basa dari Ag(NH3)2+
- Dari hasil pengamatan yang termasuk gula reduksi adalah fruktosa,glukosa dan laktosa sedangkan non reduksi adalah sukrosa dan pati
- Gula non reduksi yaitu senyawa karbohidrat yang tidak mampu mereduksi zat pengoksidasi lembut seperti tollens dengan menghasilkan warna selain merah bata
- Hidrolisa merupakan proses kimia menggunakan H2O sebagai pemecah suatu persenyawaan termasuk inverse gula
- Berdasarkan hasil percobaan, hidrolisa sukrosa dengan katalis asam menghasilkan warna biru kehijauan. Ini berarti hasilnya negative, sedangkan dengan katalis basa, warna menjadi kuning kecoklatan, menandakan bahwa hasilnya berupa positif
- Pada hidrolisa pati dengan katalis asam dan enzim yang menunjukkan hasil yang negative karena tidak terbentuk kompleks biru iodium-amilosa setelah diuji dengan iodine
- Pada hidrolisa pati dengan katalis asam, terbentuk kompleks biru iodium-amilosa yang menunjukkan hasil positif. Dan jika dilakukan pemanasan secara terus-menerus akan menyebabkan proses hidrolisa terhentikan yang ditandai dengan hilangnya warna biru pada larutan.
DAFTAR PUSTAKA
Bresnick, D. Stephen. 2004. Intisari Kimia Orgaik. Jakarta: Hipokrates.
Fessenden, R.J., dan Joan. S. Fessenden. 2002. Dasar-dasa Kimia Organik. Jakarta: Erlangga.
Poedjadi, Anna. 1994. Dasar-dasar Biokimia. Jakarta: UI Press.
Ulfa, Maria. 2008. Praktikum Kimia Organik. Jakarta: Bina Rupa Aksara.
Yazid, C. 2006. Penentuan Praktikum Biokimia untuk Mahasiswa analisa. Yogyakarta: Penerbit Andi.






















Tinggalkan komentar