Sifat-sifat gas ideal dengan menggunakan variabel makroskopik seperti tekanan, volume, dan suhu. Sifat skala besar tersebut dapat berhubungan dengan deskripsi pada skala mikroskopis, dimana materi diperlakukan sebagai kumpulan molekul. Kinetik Gas: Sifat Sifat Gas Ideal
Baca juga: Energi Kinetik dan Teorema Kerja- Energi Kinetik
Penerapan hukum Newton tentang gerak secara statistik untuk kumpulan partikel yang memberikan gambaran wajar dari proses termodinamika. Untuk menjaga matematika relatif sederhana, kita akan membahas terutama perilaku gas karena pada gas, interaksi antara molekul jauh lebih lemah daripada pada cairan atau padatan.
Kalor jenis molar gas
Kita akan mulai dengan hubungan tekanan dan temperatur secara langsung dengan rincian gerak molekul dalam sampel gas. Berdasarkan hasil ini, kita akan membuat prediksi kalor jenis molar gas. Beberapa prediksi ini akan benar dan sebagian lagi tidak. Kita akan memperluas model kita untuk menjelaskan nilai-nilai yang diprediksi secara tidak benar dengan model sederhana.
Kinetik Gas
Kita mulai bab ini dengan mengembangkan model mikroskopik gas ideal, yang disebut dengan teori kinetik. Dalam mengembangkan model ini, kita membuat asumsi sebagai berikut:
- Jumlah molekul dalam gas adalah besar, dan jarak pemisah rata-rata antar molekul adalah besar dibandingkan dengan dimensi molekul tersebut. Dengan kata lain, molekul menempati volume yang dapat diabaikan dalam wadah. Yang konsisten dengan model gas ideal, di mana kita modelkan molekul sebagai partikel.
- Molekul-molekul mematuhi hukum gerak Newton, tapi secara keseluruhan mereka bergerak secara acak. Dengan “secara acak,” kita mengartikan bahwa tiap molekul dapat bergerak ke segala arah dengan berbagai kecepatan.
- Molekul-molekul hanya berinteraksi dengan gaya yang berjarak pendek selama tumbukan elastis. Hal ini konsisten dengan model gas ideal, di mana molekul tidak menerapkan gayapada jarak jauh satu sama lain.
- Molekul-molekul membuat tumbukan elastis dengan dinding. Tumbukan ini menyebabkan tekanan makroskopik pada dinding wadah.
- Gas dalam pertimbangan adalah bahan murni, yaitu, semua molekul yang identik.
Meskipun kita sering membayangkan gas ideal terdiri dari atom tunggal, perilaku gas molekul mendekati gas ideal yang cukup baik pada tekanan rendah. Biasanya, rotasi atau getaran molekul tidak berpengaruh pada gerakan yang dipertimbangkan di sini.
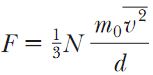
Untuk aplikasi pertama kita tantang teori kinetik, mari kita menghubungkan variabel macroscope tekanan P terhadap besaran mikroskopis. Pertimbangkan kumpulan N molekul gas ideal dalam wadah dengan volume V. Wadah yang merupakan sebuah kubus dengan tepi panjang d (Gambar 21.1). Pertama, kita akan memusatkan perhatian kita pada salah satu molekul yang memiliki massa m0 dan menganggapnya sedang bergerak sehingga komponen kelajuan dalam arah x adalah Vxiseperti pada Gambar 21.2. (Subskrip i di sini merujuk pada molekul ke-i dalam kumpulan, bukan untuk nilai awal. Kita akan menggabungkan efek dari semua molekul segera.) Ketika molekul bertumbukan elastis dengan dinding (asumsi 4), komponen kelajuannya tegak lurus terhadap dinding yang dibalik karena massa dinding jauh lebih besar daripada massa molekul. Molekul dimodelkan sebagai sistem tidak terisolasi yang karena impuls dari dinding menyebabkan perubahan momentum molekul. Karena komponen momentum Pxi dari molekul adalah m0vxisebelum tumbukan dan -m0vxi setelah tumbukan, perubahan dalam komponen x momentum dari molekul adalah
∆pxi = -m0vxi – (m0vxi) = -2m0vxi
Karena molekul mematuhi hukum Newton (asumsi 2), kita dapat menerapkan teorema impuls-momentum (Persamaan 9.10) ke molekul untuk memberikan:
Fi, pada molekul∆ttumbukan = ∆pxi = -2m0vxi
(Ingat! Besaran yang bercetak tebal merupakan besaran vektor)
di mana Fi, pada molekul adalah komponen x dari gaya rata-rata yang diberikan oleh dinding pada molekul selama tumbukan dan ∆ttumbukanadalah durasi tumbukan. Untuk molekul yang membuat tumbukan lain dengan dinding yang sama setelah tumbukan pertama ini, ia harus menempuh jarak 2d dalam arah x (melintasi wadah dan belakang). Oleh karena itu, interval waktu antara dua tumbukan dengan dinding yang sama:
∆t = 2d/vxi
Gaya yang menyebabkan perubahan momentum dari molekul dalam tumbukan dengan dinding terjadi hanya selama tumbukan. Kita bisa, bagaimanapun, rata-rata gaya selama interval waktu untuk molekul yang bergerak melintasi kubus dan kembali. Kadang selama interval waktu ini tumbukan terjadi, sehingga perubahan dalam momentum untuk interval waktu ini adalah sama dengan waktu sesaat dari tumbukan. Oleh karena itu, kita dapat menulis ulang teorema impuls-momentum sebagai:
Fi ∆t = -2m0vxi
dimana Fiadalah komponen gaya rata-rata selama interval waktu untuk molekul bergerak melintasi kubus dan kembali. Karena tepat satu tumbukan terjadi untuk setiap interval waktu tersebut, hasil ini juga gaya rata-rata jangka panjang pada molekul selama interval waktu yang lama mengandung sejumlah kelipatan ∆t.
Persamaan ini dan yang sebelumnya memungkinkan kita untuk mengungkapankan komponen x dari gaya rata-rata jangka panjang yang diberikan oleh dinding pada molekul sebagai:
Sekarang, dengan menggunakan hukum ketiga Newton, komponen x gaya rata-rata jangka panjang yang diberikan oleh molekul pada dinding besarnya sama dan berlawanan arah:
Total gaya rata-rata Fyang diberikan oleh gas pada dinding ditemukan dengan menambahkan gaya rata-rata yang diberikan oleh masing-masing molekul. Istilah penambahan seperti yang di atas untuk semua molekul memberikan:
di mana kita memiliki faktor panjang kotak dan massa m0karena asumsi 5 memberitahu kita bahwa semua molekul adalah sama. Kita sekarang memaksakan asumsi 1, bahwa jumlah molekul besar. Untuk sejumlah kecil molekul, gaya yang sebenarnya pada dinding akan berubah terhadap waktu. Ini akan menjadi bukan nol selama interval pendek dari tumbukan sebuah molekul dengan dinding dan nol bila ada molekul kebetulan menumbuk dinding. Untuk bilangan yang sangat besar dari molekul seperti bilangan Avogadro, bagaimanapun, perbedaan dalam gaya ini yang diratakan sehingga gaya rata-rata yang diberikan di atas adalah sama atas setiap interval waktu. Oleh karena itu, gaya F konstan pada dinding karena tumbukan molekul:
Untuk melangkah lebih jauh, mari kita mempertimbangkan bagaimana mengungkapankan nilai rata-rata dari kuadrat komponen x dari kelajuan untuk N molekul. Rata-rata tradisional seperangkat nilai adalah jumlah dari nilai-nilai di atas jumlah nilai:
Pembilang dari ungkapan ini terkandung dalam sisi kanan dari persamaan sebelumnya. Oleh karena itu, dengan menggabungkan dua ungkapan gaya total pada dinding dapat ditulis:
Sekarang mari kita fokus lagi pada satu molekul dengan kelajuan komponen vxi, vyi, dan vzi. Teorema Pythagoras yang menghubungkan kuadrat dari kecepatan molekul dengan kuadrat komponen kelajuan:
vi2 = vxi2 + vyi2 + vzi2
Oleh karena itu, nilai rata-rata v2 untuk semua molekul dalam wadah ini dihubungkan dengan nilai rata-rata vx2, vy2, dan vz2 sesuai dengan ungkapan:
Karena gerak benar-benar acak (asumsi 2), nilai rata-rata sama satu sama lain. Menggunakan fakta ini dan persamaan sebelumnya, kita menemukan bahwa:
Oleh karena itu, dari Persamaan 21.1, total gaya yang beusaha pada dinding adalah:
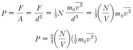
Menggunakan ungkapan ini, kita dapat menemukan total tekanan pada dinding:
Hasil ini menunjukkan bahwa tekanan gas sebanding dengan (1) jumlah molekul per satuan volume dan (2) rata-rata energi kinetik translasi dari molekul, ½ m0v2. Dalam menganalisis model sederhana dari gas ideal, kita memperoleh hasil yang penting yang menghubungkan besaran makroskopik tekanan dengan besaran mikroskopis, nilai rata-rata dari kuadrat kecepatan molekul. Oleh karena itu, kunci utama antara dunia molekuler dan dunia skala besar telah ditetapkan.
Perhatikan bahwa Persamaan 21.2 memverifikasi beberapa ciri-ciri tekanan yang mungkin telah Anda kenal. Salah satu cara untuk meningkatkan tekanan di dalam wadah adalah dengan meningkatkan jumlah molekul per satuan volume N/V dalam wadah. Itulah apa yang Anda lakukan ketika Anda menambahkan udara ke ban. Tekanan di ban juga dapat ditingkatkan dengan meningkatkan rata-rata energi kinetik translasi molekul udara di ban. Yang dapat dicapai dengan meningkatkan suhu udara, yang mengapa tekanan dalam ban meningkat ketika ban menghangat selama perjalanan jalan panjang. Kelenturan terus-menerus ban ketika bergerak sepanjang permukaan jalan dalam usaha dilakukan pada karet sebagai bagian dari distorsi ban, menyebabkan peningkatan energi internal dari karet.Peningkatan suhu karet menghasilkandi transfer energi oleh kalor ke udara dalam ban. Transfer ini akan meningkatkan suhu udara, dan peningkatan suhu pada gilirannya menghasilkan peningkatan tekanan (Serway, 2010: 599-602).






Tinggalkan komentar